差壓變送器的分類、原理以及在工業生產中的應用與發展前景
發表時間:2019-03-12|? 聯系電話:15601403222 、 13915181149
變送器是現代化工業生產中*普遍在使用的一類儀表設備,可以被稱為現代工業生產的“眼睛”,生產流程中可以通過變送器來觀測與控制整個生產過程的壓力、流量、溫度、液位等測量數據,并通過數據交換的方式將此類數據傳遞到中央控制系統內(DCS或PLC)中的邏輯算法,同時以調節器或控制單元來進行調節,*終完成對生產的各項目標數值的控制。因此說變送器對于建立一個良好的控制回路是重要前提要求,壓力變送器和差壓變送器就是這種“眼睛”*典型的代表,以其***和和穩定性被**應用。
?。?、分 類
壓力(差壓)變送器的作用,簡單來說就是通過彈性測壓元件的位移或受力變為標準電信號。按組成方式及工作原理可分為力平衡式變送器和位移式變送器兩類。而在玻璃生產線中,我們基本均使用位移式變送器。其中按照測量精度和對象又可分為微差壓變送器、差壓變送器和壓力變送器三類。若按照信號傳輸和供電模式又可分為兩線制變送器和四線制變送器兩種。
2、原 理
?。?1 力平衡式壓力(差壓)變送器
雖然力平衡式變送器在玻璃生產線中并不多見,但為了比較它與位移式變送器之間的優劣,仍值得研究討論。其工作原理如圖1所示。被測壓力P經波紋管轉換為力Fi作用于杠桿左端A點,使杠桿繞支點O作逆時針旋轉,稍一偏轉,位于杠桿右端的位移檢測元件便有感覺,使電子放大器產生一定的輸出電流I0。此電流流過反饋線圈和變送器的負載,并與*磁鐵作用產生一定的電磁力,使杠桿B點受到反饋力Ff,形成一個使杠桿作順時針轉動的反力矩。由于位移檢測放大器極其靈敏,杠桿實際上只要產生極微小的位移,放大器便有足夠的輸出電流形成反力矩與作用力矩平衡。當杠桿處于平衡狀態時,輸出電流I0正比于被測壓力P。

這種閉環的力平衡結構的優點,首先在于當彈性材料的彈性模數溫度系數較大時,可以減小溫度的影響。因為這里的平衡狀態不是靠彈性元件的彈性反力來建立的,當位移檢測放大器非常靈敏時,杠桿的位移量很小,若整個彈性系統的剛度設計得很小,那么彈性反力在平衡狀態的建立中無足輕重,可以忽略不計。這樣,彈性元件的彈性力隨溫度的漂移就不會影響這類變送器的精度。此外,由于變換過程中位移量很小,彈性元件的受力面積能保持恒定,因而線性度也比較好。由于位移量小,還可減少彈性遲滯現象,減小儀表的變差。為了說明上述道理,可畫出這種變送器的靜態結構如圖2所示。北側壓力P乘上波紋管的有效面積S便得到作用于A點的Fi,此力再乘上對支點O的距離lOA

即為作用力矩Mi=Fi×lOA作用力矩Mi與反饋力矩Mf之差ΔM使杠桿繞O點旋轉,轉角θ=Δm/τ。這里τ是杠桿系統的扭轉剛度,它的大小表示要使杠桿產生單位轉角所需的力矩。當杠桿轉動時,位移檢測點C處就有位移d=lOC×θ,其中lOC為檢測點C到支點O的距離。該位移被檢測并轉換為電流輸出I0。
圖中K表示位移檢測放大器的傳遞系數。輸出電流I0流過反饋線圈,產生電磁反饋力Ff=f×I0,其中f為電磁鐵的傳遞系數。此力乘力臂lOB即為反饋力矩Mf。
由圖2可寫出其閉環傳遞函數

當開環增益很大,即1τ×lOC×K×f×lOB>>1時,上式可簡化為

由此可知,這種變送器具有一切閉環系統的共同特點,即在開環增益足夠大時,其輸入量與輸出量間的關系只取決于輸入環節及反饋環節的傳遞函數,而與正向通道環節的傳遞函數無關。在圖2中,杠桿系統(包括彈性測量元件)的剛度τ和位移檢測放大器的傳遞系數K都處于正向通道內,只要開環增益足夠大,它們的變化不會影響輸出值I0。因此,彈性測量元件的彈性模數隨溫度的變化,不會影響儀表的精度[1]。從上面的分析看到,在力平衡變送器中,只要測壓元件的有效面積S能保持恒定,磁鐵的磁場強度均勻穩定,力臂的長度lOA、lOB不變,便可得到較好的變換精度。
2.2 位移式差壓(壓力)變送器
*早的電信號壓力計都是開環的,先將彈性測壓元件的位移轉換為電感、電阻或電容的變化,再經一定的電路轉換后輸出。由于當時材料質量和工藝水平都不高,彈性元件的彈性模數隨溫度變化很大,因而平衡位置受溫度影響大,即輸出的溫度漂移較大。另外,早期的位移測量技術不高,測壓元件必須有足夠大的變形才能測量,因而使彈性元件的非線性和變差都比較大。隨著科學技術的發展,材料彈性模數隨溫度變化的問題獲得了很大的改善,例如鎳鉻鈦鋼等材料的彈性模數溫度系數小于0.2×10-4℃-1,因而在環境溫度變化時,其彈性模數幾乎可認為不變。此外,電子檢測技術的發展,使微小位移的檢測成為可能,彈性元件只要有0.1mm左右的位移便可*地測量出來。由于變形小,非線性和彈性遲滯引起的變差都可以大大減小。而其結構的簡單,運行的可靠,維護的方便,都是位移式變送器相較于力平衡式的優點所在。作為這種新的位移式變送器的例子,圖3示出了一個電容式差壓傳感器的基本結構。被測壓力P1、P2分別加于左右兩個隔離膜片上,通過硅油將壓力傳送到測量膜片。該測量膜片由彈性溫度穩定性好的平板金屬薄片制成,作為差動可變電容的活動電極,在兩邊壓力差的作用下,可左右位移約0.1mm的距離。在測量膜片左右,有兩個用真空蒸發法在玻璃凹球面制成的金屬固定電極。當測量膜片向一邊鼓起時,它與兩個固定電極間的電容量一個增大,一個減小,通過引出線測量這兩個電容的變化便可知道差壓的數值。

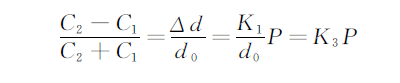
這種差壓變送器的結構和力平衡式相比有一突出的優點,就是它不存在力平衡式變送器必須把杠桿穿出測壓室的問題。在力平衡式變送器中為使輸出杠桿既能密封又能轉動,使用了彈性密封膜片,這帶來一個棘手的問題———靜壓誤差。由于密封膜片在壓力作用下的變形,會使杠桿產生軸向位移,必須用吊帶把杠桿拉住,但它容易產生偏心。此外,杠桿在密封膜片上的安裝也很難完全同心,這樣,彈性密封膜片受力時,還會對杠桿造成附加的偏轉力。盡管兩個測量室的壓力差為零,即P1-P2=0時,只要P1、P2的值不為零,杠桿上就會受到偏轉力,由這種附加力引起的誤差就稱為靜壓誤差。在力平衡式差壓變送器中,這是一個十分麻煩的問題。在圖3的電容式傳感器中,因為沒有輸出軸,所以靜壓誤差的問題比較容易解決,整個差壓變送器的精度也容易提高。要了解電容式變送器的工作原理,就需要先分析下差動電容與壓力的變化關系,設測量膜片在差壓P的作用下移動一個距離Δd,由于位移很小,可近似認為兩者作比例變化,即可寫成:Δd=K1P,這里K1為比例常數。這樣,可動極板(測量膜片)與左右固定極板間的

式中,K2是由電容器極板面積和介質介電系數決定的常數。聯立解上列關系式,可得出差壓P與差動電容C1、C2的關系如下

這里K3=K1/d0也是一個常數。由上式可知,電容式壓力變送器的任務其實就是將(C2-C1)對(C2+C1)的比式轉換為電壓或電流。
?。场∮?/span>
綜上所述,我們認識到位移式變送器在現今的測量領域,相對于力平衡式變送器而言更為市場所認可。在玻璃生產線的設計過程中也同樣如此。然而根據測量對象和精度的不同,變送器在選型上仍有區別。
?。保┰谌鄹G中,我們使用精度*高的微差壓變送器檢測窯內壓力,這是關乎熔窯根本安全和測量對象之一,其結構如圖4所示,此處P1的取壓管需深入熔窯壁內側,而P2所取壓力為溫度接近熔窯處的大氣壓值,*終接入變送器的取壓管應為窯爐兩側取壓的平均值,*后同圖3位移式變送器的原理,通過P1-P2得到熔窯內部的表壓值。


2)對天然氣、氫氣、氧氣以及助燃風流量的測量,我們使用差壓變送器配合節流式孔板流量計來實現。如圖5所示在管道中插入一片中心開孔的圓盤,當流體經過這一孔板時,流束截面縮小,造成了局部的流速差異,得到比較顯著的壓差。在一定的條件下,流體的流量與節流元件前后的壓差平方根成正比。其公式為式中,Q是所測流量;F0是孔板的開孔面積;α為流量系數;ρ為液體密度;P1為孔板前壓力;P2為孔板后壓力。在玻璃生產線中,差壓變送器除了在上述關鍵測量領域起到重要作用之外,仍有許多衍生的應用,比如測量玻璃液面的高度變化,測量液體的液位高度等等,此處不再多做贅述。
4、發 展
在檢測氣體流量時,由于氣體具有可壓縮性,因此比液體的測量更復雜。由上文可知,氣體的體積流量Q是差壓(P1-P2)與密度ρ的函數,而密度又是該氣體當前溫度和壓力的函數,實際使用時,由于介質的當前密度與設計時的密度不同,會出現較大的測量誤差,因此要對其進行溫壓補償。過去,設計者會在氣體管道設置流量計的位置附近同時設置熱電阻和壓力變送器,并將三組信號均引入DCS系統,在計算機系統中通過公式完成補償計算。這種模式在現今也逐漸被取代。不少公司**出了新一代的多參數智能變送器,這類變送器以微處理器為基礎,全面提升了變送器的精度、可靠性及長期穩定性指標。通過同時分別檢測溫度、壓力和差壓三個過程變量,按工業標準的計算方法直接得出第四個過程變量(質量流量或體積流量),并輸出對應的4~20mA模擬信號和數字信號,減少了變送器的數量,方便了安裝,使其能滿足更為苛刻的使用環境,提高了可靠性和測量準確度。
?。怠⒔Y 語
時至今日,差壓變送器在工業領域的應用早已不再局限于測量壓力,該文所提到的對流量、液位的測量是將被測對象的變化先轉換為壓力差,再通過變送器完成測量,這些設計無一不飽含著設計者的智慧結晶,都值得我們去思考和繼續研究。

?。?、分 類
壓力(差壓)變送器的作用,簡單來說就是通過彈性測壓元件的位移或受力變為標準電信號。按組成方式及工作原理可分為力平衡式變送器和位移式變送器兩類。而在玻璃生產線中,我們基本均使用位移式變送器。其中按照測量精度和對象又可分為微差壓變送器、差壓變送器和壓力變送器三類。若按照信號傳輸和供電模式又可分為兩線制變送器和四線制變送器兩種。
2、原 理
?。?1 力平衡式壓力(差壓)變送器
雖然力平衡式變送器在玻璃生產線中并不多見,但為了比較它與位移式變送器之間的優劣,仍值得研究討論。其工作原理如圖1所示。被測壓力P經波紋管轉換為力Fi作用于杠桿左端A點,使杠桿繞支點O作逆時針旋轉,稍一偏轉,位于杠桿右端的位移檢測元件便有感覺,使電子放大器產生一定的輸出電流I0。此電流流過反饋線圈和變送器的負載,并與*磁鐵作用產生一定的電磁力,使杠桿B點受到反饋力Ff,形成一個使杠桿作順時針轉動的反力矩。由于位移檢測放大器極其靈敏,杠桿實際上只要產生極微小的位移,放大器便有足夠的輸出電流形成反力矩與作用力矩平衡。當杠桿處于平衡狀態時,輸出電流I0正比于被測壓力P。

這種閉環的力平衡結構的優點,首先在于當彈性材料的彈性模數溫度系數較大時,可以減小溫度的影響。因為這里的平衡狀態不是靠彈性元件的彈性反力來建立的,當位移檢測放大器非常靈敏時,杠桿的位移量很小,若整個彈性系統的剛度設計得很小,那么彈性反力在平衡狀態的建立中無足輕重,可以忽略不計。這樣,彈性元件的彈性力隨溫度的漂移就不會影響這類變送器的精度。此外,由于變換過程中位移量很小,彈性元件的受力面積能保持恒定,因而線性度也比較好。由于位移量小,還可減少彈性遲滯現象,減小儀表的變差。為了說明上述道理,可畫出這種變送器的靜態結構如圖2所示。北側壓力P乘上波紋管的有效面積S便得到作用于A點的Fi,此力再乘上對支點O的距離lOA

即為作用力矩Mi=Fi×lOA作用力矩Mi與反饋力矩Mf之差ΔM使杠桿繞O點旋轉,轉角θ=Δm/τ。這里τ是杠桿系統的扭轉剛度,它的大小表示要使杠桿產生單位轉角所需的力矩。當杠桿轉動時,位移檢測點C處就有位移d=lOC×θ,其中lOC為檢測點C到支點O的距離。該位移被檢測并轉換為電流輸出I0。
圖中K表示位移檢測放大器的傳遞系數。輸出電流I0流過反饋線圈,產生電磁反饋力Ff=f×I0,其中f為電磁鐵的傳遞系數。此力乘力臂lOB即為反饋力矩Mf。
由圖2可寫出其閉環傳遞函數

當開環增益很大,即1τ×lOC×K×f×lOB>>1時,上式可簡化為

由此可知,這種變送器具有一切閉環系統的共同特點,即在開環增益足夠大時,其輸入量與輸出量間的關系只取決于輸入環節及反饋環節的傳遞函數,而與正向通道環節的傳遞函數無關。在圖2中,杠桿系統(包括彈性測量元件)的剛度τ和位移檢測放大器的傳遞系數K都處于正向通道內,只要開環增益足夠大,它們的變化不會影響輸出值I0。因此,彈性測量元件的彈性模數隨溫度的變化,不會影響儀表的精度[1]。從上面的分析看到,在力平衡變送器中,只要測壓元件的有效面積S能保持恒定,磁鐵的磁場強度均勻穩定,力臂的長度lOA、lOB不變,便可得到較好的變換精度。
2.2 位移式差壓(壓力)變送器
*早的電信號壓力計都是開環的,先將彈性測壓元件的位移轉換為電感、電阻或電容的變化,再經一定的電路轉換后輸出。由于當時材料質量和工藝水平都不高,彈性元件的彈性模數隨溫度變化很大,因而平衡位置受溫度影響大,即輸出的溫度漂移較大。另外,早期的位移測量技術不高,測壓元件必須有足夠大的變形才能測量,因而使彈性元件的非線性和變差都比較大。隨著科學技術的發展,材料彈性模數隨溫度變化的問題獲得了很大的改善,例如鎳鉻鈦鋼等材料的彈性模數溫度系數小于0.2×10-4℃-1,因而在環境溫度變化時,其彈性模數幾乎可認為不變。此外,電子檢測技術的發展,使微小位移的檢測成為可能,彈性元件只要有0.1mm左右的位移便可*地測量出來。由于變形小,非線性和彈性遲滯引起的變差都可以大大減小。而其結構的簡單,運行的可靠,維護的方便,都是位移式變送器相較于力平衡式的優點所在。作為這種新的位移式變送器的例子,圖3示出了一個電容式差壓傳感器的基本結構。被測壓力P1、P2分別加于左右兩個隔離膜片上,通過硅油將壓力傳送到測量膜片。該測量膜片由彈性溫度穩定性好的平板金屬薄片制成,作為差動可變電容的活動電極,在兩邊壓力差的作用下,可左右位移約0.1mm的距離。在測量膜片左右,有兩個用真空蒸發法在玻璃凹球面制成的金屬固定電極。當測量膜片向一邊鼓起時,它與兩個固定電極間的電容量一個增大,一個減小,通過引出線測量這兩個電容的變化便可知道差壓的數值。

這種差壓變送器的結構和力平衡式相比有一突出的優點,就是它不存在力平衡式變送器必須把杠桿穿出測壓室的問題。在力平衡式變送器中為使輸出杠桿既能密封又能轉動,使用了彈性密封膜片,這帶來一個棘手的問題———靜壓誤差。由于密封膜片在壓力作用下的變形,會使杠桿產生軸向位移,必須用吊帶把杠桿拉住,但它容易產生偏心。此外,杠桿在密封膜片上的安裝也很難完全同心,這樣,彈性密封膜片受力時,還會對杠桿造成附加的偏轉力。盡管兩個測量室的壓力差為零,即P1-P2=0時,只要P1、P2的值不為零,杠桿上就會受到偏轉力,由這種附加力引起的誤差就稱為靜壓誤差。在力平衡式差壓變送器中,這是一個十分麻煩的問題。在圖3的電容式傳感器中,因為沒有輸出軸,所以靜壓誤差的問題比較容易解決,整個差壓變送器的精度也容易提高。要了解電容式變送器的工作原理,就需要先分析下差動電容與壓力的變化關系,設測量膜片在差壓P的作用下移動一個距離Δd,由于位移很小,可近似認為兩者作比例變化,即可寫成:Δd=K1P,這里K1為比例常數。這樣,可動極板(測量膜片)與左右固定極板間的

式中,K2是由電容器極板面積和介質介電系數決定的常數。聯立解上列關系式,可得出差壓P與差動電容C1、C2的關系如下

這里K3=K1/d0也是一個常數。由上式可知,電容式壓力變送器的任務其實就是將(C2-C1)對(C2+C1)的比式轉換為電壓或電流。
?。场∮?/span>
綜上所述,我們認識到位移式變送器在現今的測量領域,相對于力平衡式變送器而言更為市場所認可。在玻璃生產線的設計過程中也同樣如此。然而根據測量對象和精度的不同,變送器在選型上仍有區別。
?。保┰谌鄹G中,我們使用精度*高的微差壓變送器檢測窯內壓力,這是關乎熔窯根本安全和測量對象之一,其結構如圖4所示,此處P1的取壓管需深入熔窯壁內側,而P2所取壓力為溫度接近熔窯處的大氣壓值,*終接入變送器的取壓管應為窯爐兩側取壓的平均值,*后同圖3位移式變送器的原理,通過P1-P2得到熔窯內部的表壓值。


2)對天然氣、氫氣、氧氣以及助燃風流量的測量,我們使用差壓變送器配合節流式孔板流量計來實現。如圖5所示在管道中插入一片中心開孔的圓盤,當流體經過這一孔板時,流束截面縮小,造成了局部的流速差異,得到比較顯著的壓差。在一定的條件下,流體的流量與節流元件前后的壓差平方根成正比。其公式為式中,Q是所測流量;F0是孔板的開孔面積;α為流量系數;ρ為液體密度;P1為孔板前壓力;P2為孔板后壓力。在玻璃生產線中,差壓變送器除了在上述關鍵測量領域起到重要作用之外,仍有許多衍生的應用,比如測量玻璃液面的高度變化,測量液體的液位高度等等,此處不再多做贅述。
4、發 展
在檢測氣體流量時,由于氣體具有可壓縮性,因此比液體的測量更復雜。由上文可知,氣體的體積流量Q是差壓(P1-P2)與密度ρ的函數,而密度又是該氣體當前溫度和壓力的函數,實際使用時,由于介質的當前密度與設計時的密度不同,會出現較大的測量誤差,因此要對其進行溫壓補償。過去,設計者會在氣體管道設置流量計的位置附近同時設置熱電阻和壓力變送器,并將三組信號均引入DCS系統,在計算機系統中通過公式完成補償計算。這種模式在現今也逐漸被取代。不少公司**出了新一代的多參數智能變送器,這類變送器以微處理器為基礎,全面提升了變送器的精度、可靠性及長期穩定性指標。通過同時分別檢測溫度、壓力和差壓三個過程變量,按工業標準的計算方法直接得出第四個過程變量(質量流量或體積流量),并輸出對應的4~20mA模擬信號和數字信號,減少了變送器的數量,方便了安裝,使其能滿足更為苛刻的使用環境,提高了可靠性和測量準確度。
?。怠⒔Y 語
時至今日,差壓變送器在工業領域的應用早已不再局限于測量壓力,該文所提到的對流量、液位的測量是將被測對象的變化先轉換為壓力差,再通過變送器完成測量,這些設計無一不飽含著設計者的智慧結晶,都值得我們去思考和繼續研究。
受歡迎產品
- 液位壓力變送器
- 壓差變送器
- 法蘭式液位變送器
- 靜壓式液位變送器
- 隔膜壓力變送器
- 一體化溫度變送器
- 壓力液位變送器
- 3051壓力變送器
- 衛生型壓力變送器
- GPRS無線遠傳壓力|差壓|液位|變送器,液位計
- 單法蘭液位變送器
- 防腐投入式液位變送器
- 差壓液位變送器
- 磁翻板液位變送器
- 雙法蘭液位變送器
- 電容式液位變送器
- 浮球液位變送器
- 差壓變送器
- 電容式液位計
- 微壓差變送器
*新資訊文章
- 液位計的聯鎖值低于報警值是否不合理?
- 針對雙法蘭液位計膜片保護的安裝改造方法詳解
- 工業自動化設備中常用的壓力變送器
- 壓力傳感器的分類、特點以及用途
- 在稠油熱采平臺中如何對壓力變送器選型及安裝的研究
- 智能液位變送器在制漿造紙中的使用說明及維護方法
- 液位變送器在制漿紙中的應用和維護情況介紹
- 壓力變送器常見故障的四點解決對策
- 加壓鍋爐汽包中利用差壓變送器測量封閉水箱水位的調試過程
- 浮球液位變送器的產品原理及使用時的注意事項
- 關于生產衛生型壓力變送器的衛生級設計的**性要求
- 當使用平膜壓力變送器時出現以下誤差是無法避免的
- 壓力變送器與壓力傳感器有什么不同
- 壓力變送器常見問題排查5點方法
- 簡述單法蘭與雙法蘭液位變送器區別有哪些?
- 為什么壓力變送器的信號輸出常用的是4-20mA dc的原因分析
- 簡述電容式、擴散硅、陶瓷式微差壓變送器的區別
- 國內液位變送器產業的發展趨勢
- 電容式壓力變送器的應用范圍及產品特點介紹
- 決定電容式壓力變送器的選型的幾個關鍵參數要求及相應方法











