靜壓式液位變送器測量液位物理量的計算方法及公式說明
發表時間:2019-05-10|? 聯系電話:15601403222 、 13915181149

1、結構原理:
RZ-JY系列靜壓式液位變送器是通過測量液體液位高度而產生的靜壓力來測定液體液位。(關于傳感器的工作原理與YZSK-100液位變送器相同)
當把液位變送器的傳感器部分投入到液體介質中時,傳感器受液體的靜壓作用轉換為電壓信號。電壓信號再經放大并轉換成二線制4-20mADC標準電流信號輸出。
2、工作原理:
傳感器在液體中所受到的靜壓力為:
P=grh+Po
G-重力加速度(常數)
r-液體密度
h液面待測高度
Po-液面上方的大氣壓力
當Po不變時,則壓力取決于密度和液位高度的兩個變量,當液體密度為一定值時,液位將與壓力成線性關系。這一壓力作用在壓力傳感器上的感應面上,將液位壓力轉換為電壓信號。電壓信號經放大直接轉換為二線制4-20mADC標準信號輸出。若液面上部壓力Po發生變化時,壓力傳感器將受到如同液位變化一樣的影響,為消除由此而引起的測量誤差,URS-100液位變送器采用通心導氣電纜設計方法,將液面上部的壓力導入傳感器背壓面,從而消除了影響,保證了測量精度。
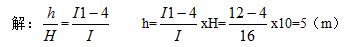
例: URS-100A2E10300-10000-1.0,即量程為10m水柱二線制4-20MADC輸出的液位變送器,測量時輸出電流為12mA,求此時所測水位是多少?
已知:量程H=10m
全量程電流變送值I=20-4=16mA
輸出電流:I1=12mA
求:水位高度h

答:所測水位是5m。
受歡迎產品
- 液位壓力變送器
- 壓差變送器
- 法蘭式液位變送器
- 靜壓式液位變送器
- 隔膜壓力變送器
- 一體化溫度變送器
- 壓力液位變送器
- 3051壓力變送器
- 衛生型壓力變送器
- GPRS無線遠傳壓力|差壓|液位|變送器,液位計
- 單法蘭液位變送器
- 防腐投入式液位變送器
- 差壓液位變送器
- 磁翻板液位變送器
- 雙法蘭液位變送器
- 電容式液位變送器
- 浮球液位變送器
- 差壓變送器
- 電容式液位計
- 微壓差變送器
*新資訊文章
- 液位計的聯鎖值低于報警值是否不合理?
- 針對雙法蘭液位計膜片保護的安裝改造方法詳解
- 工業自動化設備中常用的壓力變送器
- 壓力傳感器的分類、特點以及用途
- 在稠油熱采平臺中如何對壓力變送器選型及安裝的研究
- 智能液位變送器在制漿造紙中的使用說明及維護方法
- 液位變送器在制漿紙中的應用和維護情況介紹
- 壓力變送器常見故障的四點解決對策
- 加壓鍋爐汽包中利用差壓變送器測量封閉水箱水位的調試過程
- 浮球液位變送器的產品原理及使用時的注意事項
- 關于生產衛生型壓力變送器的衛生級設計的**性要求
- 當使用平膜壓力變送器時出現以下誤差是無法避免的
- 壓力變送器與壓力傳感器有什么不同
- 壓力變送器常見問題排查5點方法
- 簡述單法蘭與雙法蘭液位變送器區別有哪些?
- 為什么壓力變送器的信號輸出常用的是4-20mA dc的原因分析
- 簡述電容式、擴散硅、陶瓷式微差壓變送器的區別
- 國內液位變送器產業的發展趨勢
- 電容式壓力變送器的應用范圍及產品特點介紹
- 決定電容式壓力變送器的選型的幾個關鍵參數要求及相應方法











